Articles in this Volume

Research Article Open Access
Numerical simulation of dynamic behavior for flexible tobacco particles during vibratory scavenging process
Article thumbnail
(1) Background: To address the issues of tobacco flue-cured tobacco particles clogging sieve holes during vibration screening, which affects detection accuracy and causes material mixing, (2) Method: The CFD-DEM coupling method was employed to simulate the dynamic behavior of flexible tobacco particles during the cleaning process. By introducing a viscoelastic surface energy contact model, the influence of operational parameters on cleaning efficiency was systematically analyzed. (3) Results: Within the inlet velocity range of 12 m/s to 20 m/s, the optimal flow field structure was achieved at 16 m/s. At a vibration frequency of 50 Hz, the system reached optimal energy transfer efficiency with the most uniform particle velocity distribution. Although high-frequency vibration improves cleaning efficiency, it intensifies particle force fluctuations. (4) Conclusion: This study provides a theoretical basis for the intelligent design of tobacco flue-cured tobacco cleaning devices.
Show more
Read Article PDF
Cite
Research Article Open Access
Research on federated learning security detection method based on linear combinatorial rank analysis
Article thumbnail
Federated learning effectively protects data privacy by training models on local devices and only sharing model updates. However, its distributed nature also makes the system vulnerable to malicious client attacks, such as data poisoning, model tampering and backdoor attacks, especially being more concealed in the non-independent co-distributed (Non-IID) data environment. To address the above-mentioned security challenges, this paper proposes a federated learning security detection method based on linear combinatorial rank analysis. This method achieves anomaly detection by transforming the model parameter transmission process into the transmission of encoded vectors over a finite field and analyzing the rank variation of the encoded matrix. Different from the traditional methods, this method does not rely on the IID data assumption and can adapt to the complex data distribution in the Non-IID environment. At the same time, a dynamic coding adjustment mechanism is introduced, which can adaptively balance security and system efficiency according to the client resources and system security status. In addition, this paper also designs a full-link protection scheme to ensure that the entire process from parameter generation, encoding calculation to upload is effectively guaranteed in terms of security and integrity. The results show that the detection rates of LCRA in the scenarios of data poisoning, model tampering and backdoor attack reach 96.2%, 94.8% and 95.6% respectively, and the false alarm rate is lower than 4.1%. Meanwhile, the high accuracy rates of the model on CIFAR-10 and MNIST (85.3% and 97.8% respectively) are maintained. It outperforms existing robust aggregation and differential privacy methods.
Show more
Read Article PDF
Cite
Research Article Open Access
Usage of lemna minor as a water phytoremediator converted into green manure
Article thumbnail
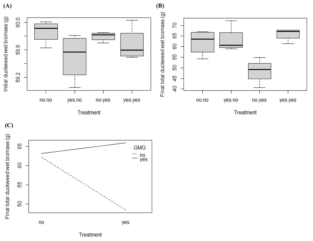
Synthetic fertilizers and herbicides are widely recognized for their harmful impacts on the environment. Lemna minor, a fast-growing aquatic plant, is a possible sustainable alternative due to its excellent absorption capacity and ability to be converted into green manure. Addtionally, it can serve as phytoremediator to absorb toxic chemicals in polluted water. In this study, Lemna minor or duckweed was exposed to ibuprofen, glyphosate, ibuprofen and glyphosate, and a control. Ibuprofen and glyphosate were used to test the duckweeds’ absorption capacity, as measured by duckweed biomass. The treated duckweed was converted into green manure by mixing it into a soil mixture. The manure, inorganic fertilizer, and a control group were then applied to kale. Duckweed-based green manure, which is an organic fertilizer, was studied to see if it could replace inorganic fertilizer. Unexpectedly, the green manure treated with glyphosate and, at times, both glyphosate and ibuprofen increased kale growth, contradicting glyphosate’s intended function as an herbicide to inhibit plant growth. These findings suggest duckweed as a possible solution to low-cost wastewater treatment and eco-friendly agriculture, though further research is needed to address long-term effectiveness.
Show more
Read Article PDF
Cite
Research Article Open Access
A study on a multi-agent interaction responsibility determination method based on prompt engineering
Article thumbnail
In response to the challenges of complex multi-agent responsibility division and low efficiency in manual judgment in telecommunications operators’ customer complaint handling, this paper proposes a multi-agent interaction responsibility determination method based on Large Language Models (LLMs) and Prompt Engineering. Taking complaint texts as input, the method constructs a hierarchical reasoning framework consisting of an individual layer and an interaction layer. The individual layer analyzes each agent’s responsibility fulfillment behavior, while the interaction layer depicts responsibility transfer relationships among agents. A responsibility fusion mechanism then integrates these analyses to generate a comprehensive responsibility distribution. This method achieves automated and interpretable multi-agent responsibility determination, offering a new technical approach and theoretical foundation for intelligent customer service, responsibility tracing, and service quality evaluation.
Show more
Read Article PDF
Cite
Research Article Open Access
Design and application of electromechanical and automation systems for the Xuliujing Riverside Hub Project
Article thumbnail
The operational safety and scheduling flexibility of water conservancy projects are now subject to increasingly stringent requirements. As the core support of modern hydraulic hubs, electromechanical and automation systems directly influence the reliability, cost-effectiveness, and intelligence level of such projects. Taking the Xuliujing Riverside Hub Project as a case study, this paper systematically presents how electromechanical and automation design can address complex hydraulic demands while integrating advanced technologies to enhance project performance. The insights provided can serve as a reference for similar low-head, bidirectional pumping stations and contribute to the advancement of water conservancy projects toward intelligent and sustainable development.
Show more
Read Article PDF
Cite
Research Article Open Access
Comparative analysis and optimization of an enhanced DenseNet model for multi-modal medical image classification
Article thumbnail
Medical image classification models often lack validation across diverse datasets, limiting their generalization in clinical settings. This study evaluates and optimizes an enhanced DenseNet-121 model, integrating dilated convolutions and Squeeze-and-Excitation (SE) blocks, for multi-modal medical image classification. We assess its robustness across MRI, CT, and histopathology datasets, focusing on cross-domain and cross-modality performance. Experiments reveal strong in-domain results but significant degradation in cross-modality tasks (e.g., MRI-to-CT accuracy drops to ~0.5). To address this, we propose two strategies: (1) multi-modal joint training, which boosts cross-modality accuracy to 0.87, and (2) CycleGAN-based modality translation, improving performance to 0.7. Grad-CAM visualizations confirm the model’s focus on clinically relevant regions, enhancing interpretability. Findings highlight the superiority of multi-modal training while demonstrating CycleGAN’s utility when target-domain data is scarce. Future work should explore larger multi-center datasets and advanced domain adaptation to further improve robustness.
Show more
Read Article PDF
Cite
Research Article Open Access
Rail transit and urban spatial decentralization: a case study of Boston's multi-centered urban evolution
In the context of modern urbanization, excessive concentration of population and economic activities in core areas has intensified problems such as congestion, housing shortages, and environmental stress, prompting cities to evolve toward multi-centered spatial structures. This study explores the interaction between rail transit accessibility and urban spatial decentralization, using Boston as a representative case. Drawing on accessibility theory, decentralization theory, and the Transit-Oriented Development (TOD) model, the research combines theoretical analysis with empirical observation to examine how Boston’s century-long rail transit evolution has guided the redistribution of population, industry, and land use. The findings reveal that improved accessibility along rail corridors has fostered the emergence of new sub-centers—such as Kendall Square, Alewife, and Quincy Center—where innovation, residence, and commerce coexist, forming a balanced polycentric structure. The study concludes that rail transit acts not only as a transportation system but also as a structural mechanism for spatial reorganization, enhancing economic vitality, social equity, and environmental sustainability. Limitations include reliance on secondary data and contextual constraints of the Boston case. Future research should integrate GIS-based spatial modeling and comparative analyses across diverse urban contexts to further clarify the causal mechanisms linking transit development and spatial restructuring.
Show more
Read Article PDF
Cite
Research Article Open Access
Research on production line simulation method based on digital twin
Article thumbnail
Addressing the challenge of insufficient behavioral modeling accuracy in digital twin-driven production line simulation, this study targets the inherent limitations of "state explosion" and "behavioral black box" in traditional Finite State Machines when describing complex, concurrent equipment beha)viors. An innovative simulation method is proposed, centering on an Improved Finite State Machine (IFSM) that formally incorporates a set of intermediate states to explicitly characterize component-level collaborative workflows and key transition steps. This is integrated within a three-tier modeling architecture to enable modular encapsulation and reuse of behavioral logic. Experimental validation through a stacker case study demonstrates that the implemented prototype system effectively simulates normal, disturbed, and fault conditions. Compared to traditional FSMs, the proposed method reduces model transition rule complexity and achieves component-level fault localization accuracy while maintaining real-time performance. This study proves the method's feasibility and superiority in enhancing the correctness, stability, and maintainability of production line simulations, providing a viable technical pathway for constructing high-fidelity and high-reliability digital twin systems.
Show more
Read Article PDF
Cite
Research Article Open Access
CoLLM-FaissRet: integrating collaborative information as a modality with efficient faiss retrieval for recommendation
Article thumbnail
Recently, the idea of implementing large language models (LLMs) into recommender systems (LLMRec) has shown considerable promise, especially when it comes to cold-start user issues. However, the current warm-start paradigms based on the use of LLMs tend to be categorised into three specific types, each of which possesses a severe drawback. To start with, the overall recommendation accuracy declines with the application of generic LLMs without modification. Second, fine-tuning these models can cause them to overuse semantic signals at the expense of collaborative signals. Third, hybrid methods that aim to combine collaborative-filtering functions with LLM representations are often unable to combine the two modalities effectively. Considering these deficiencies, we introduce CoLLM-FaissRet, where collaborative evidence is viewed as a separate modality and fed directly to the LLM context. By exploiting the Faiss library to improve the speed of retrieval, the scheme also reduces the computational overhead of earlier efforts, but applies to both large-scale cold-start and warm-start recommendation cases. Unlike previous work, our experiments are hyper-optimised and use new datasets. We show that finding the optimal learning rates to apply to different components of the learning process can greatly improve the prediction accuracy of the recommender system. In addition, our methodology performs strongly in a wide range of recommendation environments. The implementation of our method is publicly available at: https://github.com/ChuhongZheng/CoLLM-FaissRet [1].
Show more
Read Article PDF
Cite
Research Article Open Access
Design of a follow-me cart based on STM32
Article thumbnail
To address the various limitations inherent in traditional follow-me technologies, this study proposes an intelligent follow-me cart built on an STM32 microcontroller and ultra-wideband (UWB) positioning. A simplified one-dimensional positioning model is constructed using two base stations and one tag, and real-time distances between the tag and each base station are obtained through a two-way ranging (TWR) algorithm. By combining these distance measurements with appropriate mathematical methods, distance-based control is implemented to enable stable tracking of a moving target. The design adopts a modular architecture that integrates the STM32 controller, motor driver, and positioning unit, together with a one-dimensional positioning model and a sliding-average filtering algorithm, effectively suppressing multipath interference and measurement noise. Experimental results show that the proposed follow-me cart achieves reliable tracking performance in low-speed scenarios.
Show more
Read Article PDF
Cite